Alles over kwantummechanica
De scanner van de cassiére in de supermarkt, een MRI-scanner in het ziekenhuis en de microchips van je telefoon. Allemaal zouden ze er niet zijn zonder kwantummechanica. Maar wat is kwantummechanica precies en waar kan het allemaal voor gebruikt worden? Dat lees je in dit artikel!

Wat is kwantummechanica?

Kwantummechanica bestudeert de bewegingen van en krachten op zeer kleine deeltjes zoals moleculen, atomen en subatomaire deeltjes. Wanneer er bij extreem kleine deeltjes geen gebruik kan worden gemaakt van de klassieke mechanica, wordt de kwantummechanica gebruikt. Op die manier kan er toch met deze deeltjes worden gerekend. Dat gebeurt in de kwantumwereld door deze deeltjes te zien als punten en golven.
Kwantummechanica wordt steeds belangrijker in de natuurkunde, maar raakt ook zaken in de scheikunde en biologie.
Video
Als je meer wilt weten over wat kwantummechanica precies is, bekijk dan deze video.
De werkelijkheid volgens de kwantummechanica vs de klassieke natuurkunde

De werkelijkheid wordt in de klassieke natuurkunde anders benaderd dan in de kwantummechanica. De klassieke natuurkunde gaat ervan uit dat er een waarnemer onafhankelijke werkelijkheid is en dat natuurkundige grootheden variabelen zijn, welke in elke combinatie gemeten kunnen worden. De kwantummechanica zegt juist dat er geen waarnemer onafhankelijke werkelijkheid is, en dat grootheden alleen maar kunnen groeien of krimpen met één kwantum tegelijk (een heel klein deeltje dat je niet kunt delen).
Neem bijvoorbeeld een voorwerp. Dit voorwerp heeft een bepaalde vorm en afmeting. In de klassieke (Newtoniaanse) mechanica neemt men aan dat dit voor de kleine fundamentele deeltjes van dat voorwerp niet anders is. De vorm en afmeting lijken volgens die logica op kleine bolletjes met een bepaalde straal, massa en lading. In de kwantummechanica wordt hier anders naar gekeken. Hier wordt materie op kleine schaal beschouwd als een soort veld. Denk hierbij aan fotonen die verbonden zijn met het elektromagnetische veld.
Verder wordt er in de kwantummechanica geen enkele waarneming gedaan zonder beïnvloeding van het waargenomen verschijnsel. Oftewel, als iets niet is waargenomen, dan is het geen werkelijkheid. Een goed voorbeeld daarbij is Schrödingers kat. Hierover lees je later in dit artikel meer.
De onzekerheidsrelatie van Heisenberg

Een belangrijke theorie in de kwantummechanica is de onzekerheidsrelatie van Heisenberg. Deze theorie stelt dat des te meer je weet over de ene grootheid, des te minder te weet over de andere grootheid. Je kunt niet beide grootheden precies uitrekenen. Dit is de formule van de onzekerheidsrelatie van Heisenberg:

Aangezien kwantummechanica alleen uitspraken over waarnemingen geeft op statistische wijze, wordt het gedrag van een deeltje uitgedrukt in termen van waarschijnlijkheid. Denk bijvoorbeeld aan de waarschijnlijkheid van de plaats en snelheid van een bepaald deeltje.
Golf-deeltje-dualiteit
In de klassieke natuurkunde kan iets worden gezien als een golf of een deeltje. Volgens de kwantummechanica zullen deeltjes zich echter soms gedragen als een deeltje en soms als een golf. Dit is de golf-deeltje-dualiteit, wat een belangrijke pijler van kwantummechanica is. De golf-deeltje-dualiteit kan worden aangetoond met het tweespletenexperiment.
Het tweespletenexperiment is een natuurkundig experiment waarmee voor het eerst werd aangetoond dat licht of materie zich kan gedragen als een deeltje én als een golf.
In het standaardmodel van het experiment schijnt een lichtbundel op een plaat met twee smalle spleten. Door deze twee spleten ontstaat er een interferentiepatroon van lichte en donkere plekken op een scherm achter de plaat. Dit wordt verklaard door licht te beschouwen als een golf die diffractie (afbuiging van licht) ondervind.
Echter, wanneer het experiment met een lage lichtintensiteit wordt uitgevoerd, dan ondervindt het licht in eerste instantie geen interferentiepatroon. Dit wordt verklaard door licht te beschouwen als deeltjes die één voor één op de plaat worden afgeschoten. Door de lage lichtintensiteit raken de fotonen het scherm niet even vaak op dezelfde plek, waardoor er niet altijd een ander foton aanwezig is waarmee een foton kan interfereren. Uiteindelijk wordt het interferentiepatroon zichtbaar, maar dat duurt wel even.
Samengevat bestaat licht uit fotonen, die zich op hun beurt kunnen gedragen als een deeltje of als een golf.
Wat is Schrödingers kat?
Schrödingers kat is een gedachte-experiment dat is bedacht door Erwin Schrödinger. Het gaat als volgt.
Tijdens het experiment wordt er een levende kat in een stalen doos gestopt. In deze doos bevindt zich ook een minuscuul deeltje van een radioactief element. Dit bestaat uit een paar atomen en een flesje dat gevuld is met dodelijk blauwzuur. Boven het flesje hangt een hamertje dat de fles kapot kan slaan. Het hamertje kan de fles pas kapot slaan wanneer een Geigerteller detecteert dat er 1 atoom vervalt. Volgens de vervaltijd van deze deeltjes is de kans 50% dat een deeltje binnen één uur vervalt.
Er zijn na één uur twee mogelijke uitkomsten:
- De kat is nog levend: er is dus geen atoom vervallen.
- De kat is gestorven: er dus een atoom vervallen en dus is het dodelijke gas vrijgekomen.
Wat heeft Schrödingers kat te maken met kwantummechanica?
Schrödingers kat kan worden vergeleken met de kwantummechanica door de golffunctie van de kat uit twee gelijke delen te laten bestaan. Namelijk dat van een levende kat en van een dode kat. De kat is in theorie niet levend en niet dood. Je kunt hem namelijk niet zien. Pas wanneer iemand gaat kijken en de doos opent, zal het duidelijk worden of de kat is overleden of niet. Mocht de kat gestorven zijn, dan is dat niet op het moment van het vrijkomen van het gas gebeurd. De kat is pas gestorven op het moment dat er iemand ging kijken. Dit laat zien dat kwantummechanica niet aanneemt dat er een waarnemer onafhankelijke werkelijkheid is.
Wat is het tunneleffect?
Het tunneleffect in de kwantummechanica is het effect waarbij een deeltje door een energiebarrière heengaat. In de klassieke mechanica heeft dit deeltje niet genoeg energie om over de energiebarrière, welke je kunt vergelijken met een berg, te komen. Het deeltje dat te weinig energie heeft om de berg op te komen gaat dan door een soort tunnel naar de andere zijde.
Het tunneleffect wordt veroorzaakt doordat de golffunctie van het deeltje niet nul wordt binnen de energiebarrière, maar slechts erg klein wordt. Daardoor is er een kans dat het deeltje niet van de barrière af kaatst, maar juist door de barrière heengaat.
Het tunneleffect kan op verschillende wijzen worden waargenomen en toegepast:
- Alfadeeltjes die bestaan uit neutronen en twee protonen kunnen door dit effect aan de sterke kernkracht binnen een radioactief isotoop onttrekken. Zo ontstaat alfastraling in radioactieve stoffen.
- Tunneldiode werkt op basis van het tunneleffect.
- Scanning-tunnelmicroscopie gebruikt de stroom die door de naald en het object vloeit wanneer de golffuncties overlappen. Op deze manier kan een zeer gedetailleerd beeld van een oppervlak gevormd worden.
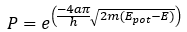
De kans op tunnelen van een deeltje wordt gegeven in de volgende formule:
Hierin is:
- p de kans op tunnelen
- a de breedte van de barrière
- h de constante Planck
- m de massa van het deeltje
- E de energie
Het energietekort van het deeltje kan groter worden wanneer de spreekwoordelijke berg hoger wordt. Je kunt dan in de formule zien dat de exponent groter wordt en dat de kans op tunnelen kleiner wordt. Bij een oneindig hoge berg is de kans op tunnelen dus nul.
De kans op tunnelen wordt ook kleiner wanneer de berg breder wordt. Het is dan lastiger voor een deeltje om door de berg heen te komen.
Wat is een kwantumcomputer?
Bij een kwantumcomputer gebruikt de processor van de computer de principes van kwantummechanica. Deze processor kan supersnel berekeningen uitvoeren over een zeer grote dataset. Hij is ongeveer 1014 keer zo snel als een normale computer.
De kwantumcomputer is al in de jaren '80 beschreven door Paul Benioff, Yuri Manin en Richard Feynman. In de jaren daarna werd het concept van de computer verder ontwikkeld door David Deutsch en Peter Shor. Toen het idee helder was, werd er gekeken of deze theoretische mogelijkheden daadwerkelijk toepasbaar zijn in de praktijk. Pas in 2017 kwam er eindelijk een prototype kwantumcomputer op de markt.
Hoe werkt een kwantumcomputer?
Een kwantumcomputer werkt door middel van qubits. Dit is een soort zeer kleine afstamming van reguliere bits. Op normale computers wordt alle informatie opgeslagen in de vorm van bits. Deze vorm van informatie heeft twee mogelijke toestanden die worden aangeduid met een 0 of 1. Deze 0 of 1 kan de richting van een magnetisch veld aangeven.
De snelheid waarmee een computer berekeningen kan maken, gaat gepaard met het aantal onderdelen dat zich in de computer bevindt. Hier komt op een gegeven moment een einde aan wanneer de onderdelen zo klein als moleculen worden. De onderdelen kunnen dan immers niet kleiner.
In dat geval komen de qubits van pas. Een voorbeeld van een qubit is een elektrische stroom in hele kleine ringetjes. Deze ringetjes vormen samen een bit, aangezien de stroom beide kanten op kan bewegen. Volgens de theorie van de kwantummechanica beweegt de stroom beide kanten op wanneer je deze niet meet (want er is in de kwantummechanica geen waarnemer onafhankelijke werkelijkheid). Een qubit is dus niet 0 óf 1, maar 0 én 1. Echter, als je een stroom kiest, kan deze dus wel 0 of 1 zijn. Aangezien een qubit meer waarden kan hebben dan een reguliere bit, geeft een qubit meer informatie dan een bit. Hierdoor zijn er voor een bepaalde berekening minder qubits nodig dan dat er bits nodig zouden zijn geweest.
Wil je meer weten over hoe de kwantumcomputer precies werkt? Bekijk dan onderstaande video.
 















